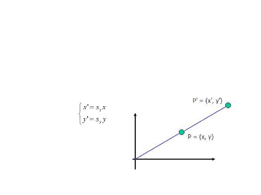
2.3.2 Escalamiento
Una transformación para alterar el tamaño de un objeto se denomina escalamiento.
Dependiendo del factor de escalamiento el objeto sufrirá un cambio en su tamaño pasando a ser mayor, o menor en su segmento de longitud.
Esta es la transformación del objeto especialmente interesante, pues con ella se consigue el efecto Zoom.
La operación de escalado modifica la distancia de los puntos sobre los que se aplica, respecto a un punto de referencia.
Para definir esta operación son necesarios dos factores de escala, Sx y Sy, según las direcciones x e y, y un punto o eje de referencia.
Existen dos tipos de escalado:
Escalado uniforme: El factor de escala es el mismo en las dos coordenadas, es decir Sx=Sy, y por lo tanto varía el tamaño pero no la forma del objeto.
Escalado diferencial: El factor de escala es distinto en cada dirección, es decir Sx es distinto de Sy, y se produce una distorsión en la forma del objeto.


